下周影响市场重要资讯前瞻
下周影响市场的重要资讯有:A股加入两大国际指数;1900亿元逆回购到期;云栖大会将在杭州举行;节前一周44只个股限售解禁,三公司解禁数量超十亿股;三只新股集中一天申购。
【重磅新闻】
A股加入两大国际指数
继MSCI在8月二次扩容后,富时罗素和标普道琼斯指数都将在下周纳入A股。8月23日,富时罗素指数将公布指数季度调整结果,同时预计会宣布将A股纳入因子从5%提升到15%,该调整将于英国时间9月23日开盘前生效。9月6日,标普道琼斯指数将发布中国A股纳入名单,届时预计会宣布A股纳入因子为25%,该变动同样将于9月23日生效。
根据民生证券的估算,9月A股“入富”第二步将带来280亿元人民币被动资金以及60亿元主动资金,合计有望吸引340亿元外资流入。标普纳入A股,则将带来180亿元被动资金,近650亿元主动资金,合计将吸引超800亿元外资流入。
1900亿元逆回购到期
下周有1900亿元逆回购到期,此外,还有1000亿元国库现金定存到期。
本周央行累计开展3200亿元逆回购操作和2000亿元MLF操作,由于本周累计有2300亿元逆回购和2650亿元MLF到期,从全口径测算,央行本周净回笼250亿元。
周四隔夜美联储宣布将其基准利率下调25个基点至1.75%到2%的目标区间,符合市场广泛预期;周四,央行重启14天逆回购维护跨季流动性需求。新版LPR第二次报价昨日出炉,1年期LPR为4.20%,5年期以上LPR为4.85%。8月20日的LPR报价为1年期LPR为4.25%。
云栖大会将在杭州举行
作为杭州市政府、阿里巴巴合作举办的年度科技盛会,2019年云栖大会将于9月25日-27日在杭州举行。今年将设两场主论坛、110余场峰会和分论坛,机器智能、5G、云原生数据库、生物识别、芯片、区块链、自动驾驶、异构计算等领域的千余领军人物参会并进行分享。此次“云栖大会“将公布阿里巴巴的最新科技成果,包括”平头哥“重磅产品、人工智能整体性突破进展等。
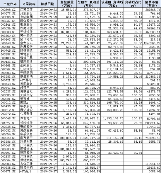
节前一周44只个股限售解禁,三公司解禁数量超十亿股
国庆节前一周,沪深两市共有44只限售股解禁,解禁数量较上周回落至66.5亿股,解禁市值也由前一周的907亿元回落至674亿元。但由于多只大盘股进入解禁期,下周解禁数量超过10亿股的公司就有多家,分别是南方航空10.88亿股、圆通速递18.13亿股、供销大集10.52亿股。

下周解禁个股
【新股机会】
三只新股集中一天申购,科创板迎来晶丰明源
据Wind数据显示,下周沪深两市限售股数量共计66.19亿股,以9月20日收盘价计算,市值约667.74亿元。其中,解禁数量超1亿股的有9家公司,超6亿股的有5家公司,超10亿股的有三家公司,分别是圆通速递的18.13亿股、南方航空的10.89亿股、供销大集的10.52亿股。

下周新股申购情况一览
【板块掘金】
9月25日 星期三 ECF国际页岩气论坛2019第九届亚太页岩油气峰会
ECF2019将聚焦页岩油气等非常规油气战略、增产上储和高效开采,邀请国际专家、政府代表、院士、中石油、中石化等企业领导和专家交流中国油气改革和非常规能源战略、国际油气合作、先进技术装备等内容。
影响板块:页岩气
影响个股:天壕环境、神开股份、杰瑞股份
9月26日 星期四 2019全国泛在电力物联网技术高峰论坛
为推动泛在电力物联网落地发展,明确其商业模式、关键技术及实施途径等要点,全国电力设备管理网召开“ 2019 全国泛在电力物联网及配电网态势智能感知技术高峰论坛”共同探讨电力泛在物联网建设及发展机遇。
影响板块:电力物联网、物联网
影响个股:凯发电气、朗新科技、智光电气
9月28日 星期六 2019中国铝加工产业链供需交易峰会
为了更好的推进建设汽车产业的发展,上海有色金属行业协会与上海汽车工程学会、上海有色网聚焦产业发展方向,共同举办“中国工博会新材料论坛——2019中国汽车新材料应用高峰论坛”主题会议,专设新能源汽车用铝材料论坛,特邀优质整车、零部件、电池、材料生产、加工等企业,打破汽车材料行业交流壁垒,挖掘最具潜力的汽车新材料。
影响板块:铝概念
影响个股:*ST利源、和胜股份、亚太科技
免责声明:以上内容仅供参考学习使用,不作为投资建议,此操作风险自担。投资有风险、入市需谨慎。
推荐阅读
相关股票
相关板块
相关资讯
扫码下载
九方智投app
扫码关注
九方智投公众号
头条热搜
涨幅排行榜
暂无评论
赶快抢个沙发吧