行情中心 沪深京A股 上证指数 板块行情 股市异动 股圈 专题 涨跌情报站 盯盘 港股 研究所 直播 股票开户 智能选股
全球指数
数据中心 资金流向 龙虎榜 融资融券 沪深港通 比价数据 研报数据 公告掘金 新股申购 大宗交易 业绩速递 科技龙头指数

通信行业2026年度策略:AI通信持续高景气,聚焦万物互联

来源:九方智投 2025-12-16 15:32
点赞
收藏
  1. 2025通信行业回顾

  1. 年度行情复盘

2025年以来,通信板块虽短期受到美国关税政策、以及年初市场对2026年算力景气度担忧等因素的影响波动较大,但整体在AI算力需求高景气度的带动下表现亮眼。

通信板块今年以来累计上涨63.37%(截至2025117日),在申万31个一级板块中位列第2,跑赢大盘44.10pcts20251-2月,DeepSeek出圈,国内大厂资本开支超预期,国产算力产业链情绪高涨。20253-5月,美国关税政策调整叠加市场对2026年算力景气度的担忧,通信行业指数波动加大。20255-8月,北美AI算力公司财报强劲,以光模块厂商为代表的国内部分公司中报亮眼,中外CSP资本开支加速增长指引乐观,通信板块加速上涨。202510月以来,在需求能见度提升、三季报业绩预期及中美关系缓和等因素带动下,光模块等AI算力板块上涨明显,随着预期落地,以及存在“需求虽然很乐观、但供给能力或不足”情况,通信板块震荡调整。

图:通信(申万)行业指数表现及PE-TTM(截至2025117日)

数据来源:中信建投

  1. 经营表现

通信板块2025年前三季度营收平稳增长,净利润较快增长。2025年前三季度,A通信板块(申万通信指数成分股,下同)合计营收19525.33亿元,同比增长3.22%;实现归母净利润1937.62亿元,同比增长8.80%

图:通信前三季度营收(亿元)及同比图:通信前三季度归母净利润及同比(亿元)

数据来源:中信建投

通信板块2025年前三季度毛利率保持稳定,费用率下降带动盈利能力提升。2025年前三季度,通信板块综合毛利率为28.90%,同比下滑0.06pct;期间费用率为15.59%,同比下降0.56pct,其中销售费用率、管理费用率、研发费用率、财务费用率分别同比下降0.23pct0.21pct0.11pct0.02pct;净利率10.58%,同比提升0.56pct

图:通信板块2025年前三季度利润率、费用率情况

数据来源:中信建投

行业子版块来看,光模块/光器件、连接器板块2025年前三季度综合表现最好。2025Q1-Q3营收同比增速前三位依次是:光器件/光模块(662亿元,同比增长65%)、连接器(100亿元,同比增长19%)、ICT设备(2313亿元,同比增长15%),基本都因为AI带动。2025Q1-Q3营收同比增速后三位依次是:工业互联网(78亿元,同比下降26%)、智能卡(31亿元,同比下降21%)、智能网关(83亿元,同比下降12%)。

图:通信子板块2025Q1-Q3营收情况

数据来源:中信建投

  1. 持仓估值

截至20251031日数据,2025Q3,公募基金通信行业持仓市值为3038.68亿元,占比6.87%,较2025Q2的持仓占比3.85%环比提升3.01pct,创历史新高。北向资金持仓方面,2025Q3北向资金通信行业持仓市值718.87亿元,占比2.82%,相较于2025Q2的持仓占比2.18%环比提升0.64pct,创历史新高。

图:公募基金、北向资金通信行业持仓占比情况(2025/10/31更新)

数据来源:中信建投

2025Q3通信行业公募基金持仓市值前十大个股依次为:中际旭创新易盛天孚通信中兴通讯中国移动中国联通中天科技长芯博创仕佳光子亿联网络,持仓市值占比通信行业公募基金持仓总市值的91.22%新易盛中际旭创天孚通信长芯博创公募基金持仓占其流通股超过10%,分别为34.02%24.98%14.83%10.43%。从前十大重仓来看,光模块/光器件、电信运营商仍是公募持仓重点板块。

图:2025Q3通信板块上市公司北向资金持仓市值TOP10

数据来源:中信建投

截至2025117日,申万通信指数PE-TTM43.62,处于5年以来96.53%分位点,处于10年以来67.74%分位点。反映出市场对于AI算力板块(如光模块、光器件等)的未来预期较高、参与热情较高。

图:通信行业动态PE(截至2025117日)

数据来源:中信建投

整体来看,2025年预期PE估值较低的板块是:运营商(16X)、线缆(28X)、统一通信服务30X),较高的板块是:光模块/光器件(52X)、连接器(50X)、智能网关(48X)。虽然光模块/光器件板块看起来估值不低,但基于未来乐观预期,仍建议重视。

图:通信子板块20242025E估值(PE估值,2025117日)

数据来源:中信建投

  1. 2026年行业展望:AI驱动,景气持续

  1. AI Capex持续增长,商业化闭环初显

海外资本开支保持高位,算力高景气周期延续。2025年,云厂商资本支出继续增长,前三自然季度北美四大云厂商微软、谷歌、Meta亚马逊资本开支合计为719.32/882.46/972.71亿美元,同比增速分别为62.4%/67.0%/65.3%。云厂商增加资本开支投入,主要用于AI基础设施建设,预计2026年海外云厂商资本开支仍然保持高位,为国内通信行业相厂商提供充足盈利来源。

图:海外四大云厂商分季度资本开支情况(单位:百万美元)

数据来源:东北证券

海外AI商业化闭环初步形成,AI赋能作用明显。以谷歌为例,在AI业务带动之下,谷歌2025三季度营收首次突破千亿美元,谷歌CEO表示全栈式AI策略推动了这一增长。谷歌AI业务已进入实质商业化阶段,形成了明确产品线和用户规模。Gemini大模型已通过API开放给开发者及企业客户,官方披露Gemini模型每分钟处理Token数量已达70亿,反映调用密度和商用落地广度。GeminiApp作为面向C端用户的AI助手,全球月活跃用户数已达6.5亿人。另外,在广告业务中,生成式AI已被用于素材生成、搜索广告推荐和视频广告生成,谷歌称AI已“正向影响广告系统的每一部分”。

图:GeminiAPP已有6.5亿月活用户

数据来源:东北证券

  1. 训推需求皆旺盛,算力拉动光模块需求

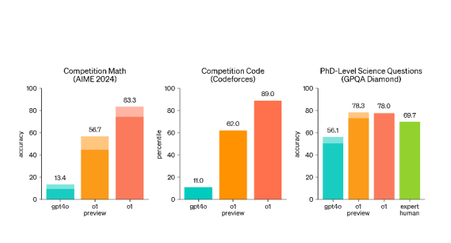
算力需求重心从训练转向推理,AI基础设施建设全面加速。根据甲骨文的判断,算力的需求结构已经从训练为主向推理为主迁移。甲骨文首席执行官SafraCatz表示,AI推理市场的规模将远超AI训练市场,目前市场上的推理算力正被耗尽。中国信息通信研究院云计算与大数据研究所副所长栗蔚认为,大模型推理应用,正在重塑云智算技术体系,成为推动智能化转型的核心引擎。算力结构转型正在从以训练为主,转向以推理为核心,当前70%以上算力用于集中式训练,未来70%以上算力将用于分布式推理。

图:o1在挑战性推理基准测试中比GPT-4o有明显改进

数据来源:东北证券

Vera Rubin进一步提升光模块配比。英伟达下一代VeraRubinNVL144架构共包含18computetray2*VeraCPU+4*RubinGPU),搭配8800GCX-9网卡,每个CX-9连接到一个后端网络的OSFP光模块接口。基于三层无收敛网络架构测算,对1.6T光模块的需求将从Blackwell1:2.5提高到VeraRubin1:5。据《联合报》报道,黄仁勋表示,下一代RubinGPU已开始进入生产线。英伟达表示,RubinGPU预计在2026年第三季度左右甚至更早进入大规模量产阶段。新一代RubinGPU放量预计带来更多高速率光模块数量需求。

图:英伟达各代机柜部件拆分

数据来源:东北证券

国内方面,国家“十五五”规划明确:新一轮科技革命和产业变革加速突破,科技自立自强水平要大幅提高。重点领域关键核心技术要快速突破,并跑领跑领域明显增多。要加强原始创新和关键核心技术攻关。完善新型举国体制,采取超常规措施,全链条推动集成电路、工业母机、高端仪器、基础软件、先进材料、生物制造等重点领域关键核心技术攻关取得决定性突破。要加快人工智能等数智技术创新,突破基础理论和核心技术,强化算力、算法、数据等高效供给。全面实施“人工智能+”行动,以人工智能引领科研范式变革,加强人工智能同产业发展、文化建设、民生保障、社会治理相结合,抢占人工智能产业应用制高点,全方位赋能千行百业。

目前世界正处于AI产业革命中,类比工业革命,影响深远,不能简单对比近几年的云计算、新能源等,需要以更长期的视角、更高的视野去观察。因此,我们对AI带动的算力需求以及应用也非常乐观。其中,AI算力板块涉及先进制程、GPU/ASIC、光模块、PCB、服务器、交换机、光器件、铜连接、IDC及其配套(液冷、电源、电力、综合布线等)等,是板块性大行情,产业链个股普遍有机会,市值仍有空间。

图:AI算力板块概览

数据来源:东北证券

  1. 2026年行业细分机会

  1. 光模块:高速光模块需求持续高增,Scale-up有望打开市场新空间

随着GPUASIC的快速升级迭代,算力性能持续提升,同时对于数据传输需求也大幅增长。在AI数据中心中,越来越多的客户倾向于选择更大带宽的网络硬件。带宽越大,单位bit传输的成本更低、功耗更低及尺寸更小。800G光模块的高增速已经能够反映出AI对于带宽迫切的需求。我们认为,2026年,800G光模块需求预计将继续保持高速增长态势,而1.6T的出货规模也将大幅增长,3.2T光模块的研发也正式开始布局。

图:LightCounting预测以太网光模块市场规模

数据来源:中信建投

英伟达GPURoadmap来看,公司的各项产品升级周期已压缩到了1年一代的节奏,同时速率和带宽不断提升。从2023-2024年公司推出Blackwell平台,配置1800GB/sNVLink5交换机,800GCX8网卡以及51TSpectrum5以太网交换机;到2025-2026年推出Rubin平台,配置3600GB/sNVLink6NVLink7交换机,102TSpectrum6CPO交换机,以及1600GbpsCX9网卡;再到2027-2028年的Feynman平台,配置NVLink8交换机,204TSpectrum7CPO交换机以及CX10网卡。

图:Nvidia产品平台更新迭代Roadmap示意图

数据来源:中信建投

从谷歌的TPU产品演进图来看,从2018年的V2产品开始,到2025年推出的V7IronwoodICI的带宽持续增长。TPUV2产品采用2DTorus架构,单个superpod256颗芯片,ICI带宽为800GB/sIronwood芯片采用3DTorus的网络拓扑架构,ICI带宽为1200GB/s,采用800GOSPF光模块,单个光通道速率达到200Gbps,同时通过OCS来连接。

图:谷歌产品平台更新迭代Roadmap示意图

数据来源:高盛

目前,行业内光模块的主要需求来自Scale-out网络。Scale-out通常指的是横向扩展,即通过增加计算节点的数量来提高整体的处理能力,以应对高并发或大数据量的挑战。目前新建的大集群大部分是超过万卡的规模,最高可以达到几十万卡,因此Scale-out的重要性凸显。除了Scale-out网络,Scale-up网络未来的光模块需求将非常广阔。Scale-up通常指的是纵向扩展,即通过在单个计算节点中增加GPU/XPU的数量来增强计算能力。初期以八卡服务器产品形态为主,随着Scale-updomain逐步增加到36/64/72,单节点产品形态转为机架级。

图:Scale-outScale-up网络架构示意图

数据来源:高盛

随着Scale-updomain逐步增加,信号传输带宽的不断提升,电信号在金属介质中传输距离受到很大的限制,同时传输过程中也会产生大量的热,功耗更大,影响GPU和交换机芯片的性能。因此,未来光互连大概率将成为Scale-up领域中的主流解决方案,能够解决距离、带宽等瓶颈。光连接除了OIO等方案,目前谷歌、Meta和华为已经开始用光模块搭建Scale-up的网络。从行业内主流的网络架构来分析,Scale-up带动的光模块需求空间广阔。其中,英伟达Blackwell平台带宽为7.2Tbps,是Scale-out带宽的9倍,因此随着Scale-updomain不断扩大,若采用两层的fat-tree架构,那么单个GPU800G光模块的比例将达到1:36,增量空间广阔。从海外CSP厂商的网络架构来看,若未来Scale-up领域全部采用光模块,市场空间非常大,可能是现在的5-8倍。例如,AMDMI400系列产品,其Scale-upScale-out的带宽都高于行业平均水平,光模块配比也很高。我们持续重点关注光模块/光器件/光芯片板块,一是龙头光模块公司,如中际旭创新易盛等;二是有望取得市场及客户突破的光模块公司,如联特科技剑桥科技德科立华工科技等;三是上游光芯片/激光器及光器件公司,如源杰科技天孚通信仕佳光子等。

图:行业内不同公司网络数据的示意图

数据来源:中信建投

  1. 交换机

AI浪潮下,2025上半年全球交换机市场规模大幅增长。根据IDC数据,2025H1全球交换机市场规模达到308.8亿美金,同比增长35.5%,增速创近十几年新高,其中数据中心交换机市场规模达到186.9亿美金,同比增长58.1%

图:全球交换机市场收入与同比增速

数据来源:中信建投

2026年,我们认为值得注意还是OCS交换机。OCS光交换是一种无需光电/电光(O/E/O)转换,直接实现光信号在光纤端口间切换的技术,英伟达尝试CPOOCS搭配使用,功耗降低效果明显。在20254月召开的OCPEMEASUMMIT英伟达首席科学家BenjaminLee分享了AI数据中心CPOOCS搭配使用的方案。

图:英伟达尝试CPOOCS搭配使用降低功耗

数据来源:中信建投

OCS通过减少电气开关和光电光(OEO)转换来优化数据中心网络,从而显著降低成本、降低功耗与GPU连接的延迟。此外,OCS可兼容各种波长、带宽和网络协议。目前行业内的OCS方案,包括MEMS方案、LiquidCrystal(液晶)方案、压电方案、硅光方案和机械方案,代表公司包括谷歌、LumentumCoherentHuber-Suhner等。

OCS产业链来看,建议关注其中几个环节:无论是MEMS、液晶还是压电方案,都会用到光纤准直器阵列,若带隔离器,价值量会更高;对于光模块公司而言,新增了OCS的市场,有自研,也有代工;MEMS方案比较成熟,单个通道对应两个2.5D/3DMEMS器件;OCS是光连接,会用到大量光纤以及光纤连接器。我们持续重点关注交换机板块,例如锐捷网络星网锐捷中兴通讯、盛科通信德科立腾景科技等。

  1. 液冷渗透率快速提升,千亿级市场启动,大陆厂商迎来机会

GPU液冷的应用渗透与单芯片的功耗(单位面积功耗)、超节点方案的部署(有限的散热空间)等密切相关。英伟达GB200NVL72开始大规模应用液冷,2025年是其液冷渗透元年,2026年随着GB系列机柜出货量的增加和芯片功耗的提升,以及CPX带来的液冷新增量,英伟达芯片对应的液冷市场规模将大幅增长。其它海外ASIC、其它GPU供应商的最新/下一代产品中,液冷也很大比例是部署的优选项,包括谷歌TPUv7pMETAMTIATAWSTRN3微软MAIA200AMDMI400X等。

国内的芯片功耗方面虽然比海外落后1-2代,但是国内厂商也在积极推进超节点部署,叠加国内机房基础设施的超前建设,我们认为国内AI服务器的液冷渗透率在2026-2027年也会大幅提升,27年海外液冷有望突破千亿空间,关注国内液冷公司出海机会。

图:海外AI液冷市场空间测算

数据来源:中信建投

站在当前的时间点来看,除了产业确定性的进一步增强之外,中国大陆液冷相关上市公司的机会也在逐步增加。2024-2025年全球液冷市场的主要参与厂商集中在中国台湾、欧美等地,面对持续高增的市场需求,同时伴随中国大陆厂商产品实力的增强,以及下游客户主体的丰富(包括芯片厂商、服务器/机柜/ODM厂商、CSP终端客户),我们认为中国大陆厂商的机会窗口在加大。从202510OCP大会上英伟达展示MGXEcosystem来看,英维克比亚迪电子leadWealth)等上市公司位列其中。

图:核心公司液冷出海布局及进展

数据来源:中信建投

  1. 端侧AI:万物互联走向万物智联时代的新引擎

端侧AI产业正迎来爆发式增长,其市场规模和终端渗透率呈现指数级扩张态势。根据最新研究数据,2023年全球存量消费终端设备已达228亿台,其中智能手机(29.8%)、智能家居设备(26.3%)和PC/PAD17.6%)构成主要载体。尽管早期端侧AI技术已在智能安防和车载设备领域实现初步应用,但真正规模化发展始于2023年,随着手机和PC两大亿级终端全面AI化,行业进入高速增长通道。

图:端侧AI消费终端结构

数据来源:中信建投

从市场规模看,中国端侧AI产业2023年规模不足2000亿元,但预计到2028年将突破1.9万亿元,2023-2028年复合增长率(CAGR)高达58%。这一增长动力主要来自三个方面:1)硬件性能突破,2025年旗舰手机NPU算力将达100TOPS,支持百亿参数模型本地部署;2)应用场景拓展,AI手机渗透率2025年预计达38%AI眼镜出货量突破280万副;工业4.0与智慧城市等领域对端侧AI的需求增速也将超过50%。;3)政策支持,国家"十五五"规划将端侧AI纳入数字经济核心产业,财政补贴占比提升至12%

图:全球端侧AI市场规模预测

数据来源:中信建投

具体而言,上游硬件:关注单机价值量高,竞争格局好的环节。AI/AR眼镜进行拆解,按照单机价值量排序为:芯片、光学、显示、存储等环节,可在其中寻找弹性相对较大的标的,同时关注光学和显示环节的技术突破与技术路径选择;整机:关注具备卓越产品力、完善供应链体系和强大生态圈的科技公司;代工:主要以3C类产品代工公司为主,核心是绑定优秀的客户以及高效的供应链管控能力;软件与算法公司:通用大模型为智能眼镜提供了基础的AI能力,建议重点关注眼镜端特定的软件算法提供商,例如手势识别、语音交互、眼动追踪等,优秀的软件算法与硬件的不断升级相结合,能够为消费者带来更出色的交互体验。

算力模组作为端侧AI落地的重要硬件支撑形态之一,前景乐观。近年来,头部物联网模组厂商均发力算力模组硬件以及端侧AI大模型解决方案市场,有望形成新成长曲线。参考Counterpoint数据,在2023年出货的模组中,约有12%在软件或硬件层面配备了人工智能功能,这些模组已经在汽车、路由器/CPE等市场广泛应用。端侧AI发展预计将打开算力模组广阔空间,Counterpoint预计2030AI嵌入式蜂窝模组将占所有物联网模块出货量的25%2024-2030年复合增速CAGR35%。我们将重点关注移远通信广和通美格智能等。

图:AI嵌入式蜂窝模组预测

数据来源:中信建投

  1. 商业航天:测运控环节量价齐升

国内两大卫星互联网星座已进入批量发射阶段,发射节奏有望持续提速。GW星座是中国星网公司推出的低轨星座,计划发射1.3万颗星,根据规划,未来5年内将发射约10%的卫星,到2035年前完成全部发射任务。GW星座自24年首发后,组网进程有望持续加速,0211组低轨卫星分别于211日、429日、66日、727日、730日、84日、813日、817日、826日、927日成功发射组网,发射节奏显著加快。

千帆星座是上海垣信主导的低轨星座,计划发射1.5万颗星,目前累计发射90颗卫星。根据界面新闻,今年下半年要完成108颗的卫星目标,明年年中将达324颗,年底648颗,2027年要完成1296颗,2030年之后达到15000颗。未来,垣信卫星可依托“一带一路”战略和国家级政策支持,与各国政府合作,通过联合基建项目快速进入市场,并规避本地化政策风险,在巴西、哈萨克斯坦等地与SpaceX同台竞技。

图:GW星座目前发射情况图:千帆星座目前发射情况

数据来源:中信建投

整个行业来看,行业高壁垒特征明显,行业痛点凸显测控资源稀缺价值,随着各类卫星星座建设的持续推进,以及航天器的商业应用日趋普及,以平台和载荷为核心的航天测控管理模式,通过与各类太空数据的高性能计算相结合,进一步提升测控管理水平。

图:航天测运控涉及航天产业多个环节,行业壁垒高

数据来源:中信建投

国内商业航天有望迎来快速发展,天龙三号、朱雀三号、引力二号等大型民营商业火箭成功定型在即,国内火箭运力瓶颈有望缓解,低轨卫星组网有望加速,相关公司订单有望快速增长,重点关注长江通信臻镭科技上海瀚讯海格通信、铖昌科技,关注国博电子通宇通讯等。

参考研报

  • 20251110-中信建投-通信行业深度报告·2026年投资策略报告:算力为先,关注新技术突破

  • 20251117-浙商证券-通信行业2026年策略报告:算力+红利+战力,三阳开泰

  • 20251115-国信证券-【国信通信·2026年策略会发言】光通信持续高景气,为AI算力互联铺路

免责声明

本报告仅提供给九方金融研究所的特定客户及其他专业人士,用于市场研究、讨论和交流之目的。

未经九方金融研究所事先书面同意,不得更改或以任何方式传送、复印或派发本报告的材料、内容及其复印本予以任何第三方。如需引用、或经同意刊发,需注明出处为九方金融研究所,且不得对本报告进行有悖于原意的引用、删节和修改。

本报告由研究助理协助资料整理,由投资顾问撰写。本报告的信息均来源于市场公开消息和数据整理,本公司对报告内容(含公开信息)的准确性、完整性、及时性、有效性和适用性等不做任何陈述和保证。本公司已力求报告内容客观、公正,但报告中的观点、结论和建议仅反映撰写者在报告发出当日的设想、见解和分析方法应仅供参考。同时,本公司可发布其他与本报告所载资料不一致及结论有所不同的报告。本报告中的信息或意见不构成交易品种的买卖指令或买卖出价,投资者应自主进行投资决策,据此做出的任何投资决策与本公司或作者无关,自行承担风险,本公司和作者不因此承担任何法律责任。

投资顾问:杨清洪(登记编号:A0740621070001

(来源:
九方智投)

免责声明:以上内容仅供参考学习使用,不作为投资建议,此操作风险自担。投资有风险、入市需谨慎。

举报

写评论

声明:用户发表的所有言论等仅代表个人观点,与本网站立场无关,不对您构成任何投资建议。《九方智投用户互动发言管理规定》

发布
0条评论

暂无评论

赶快抢个沙发吧

推荐阅读

相关股票

相关板块

  • 板块名称
  • 最新价
  • 涨跌幅

相关资讯

扫码下载

九方智投app

扫码关注

九方智投公众号

头条热搜

涨幅排行榜

  • 上证A股
  • 深证A股
  • 科创板
  • 排名
  • 股票名称
  • 最新价
  • 涨跌幅
  • 股圈