市值管理指引落地:低市净率个股领涨 银行板块迎来估值重塑
监管发布的市值管理指引落地,带动银行板块表现活跃。
11月18日,截至收盘,郑州银行涨停,青农商行、民生银行、华夏银行等涨幅居前。催化银行板块行情的是上周五发布的《上市公司监管指引第10号——市值管理》(下称“市值管理指引”),其中就主要指数成分股公司和长期破净公司作出专门要求。

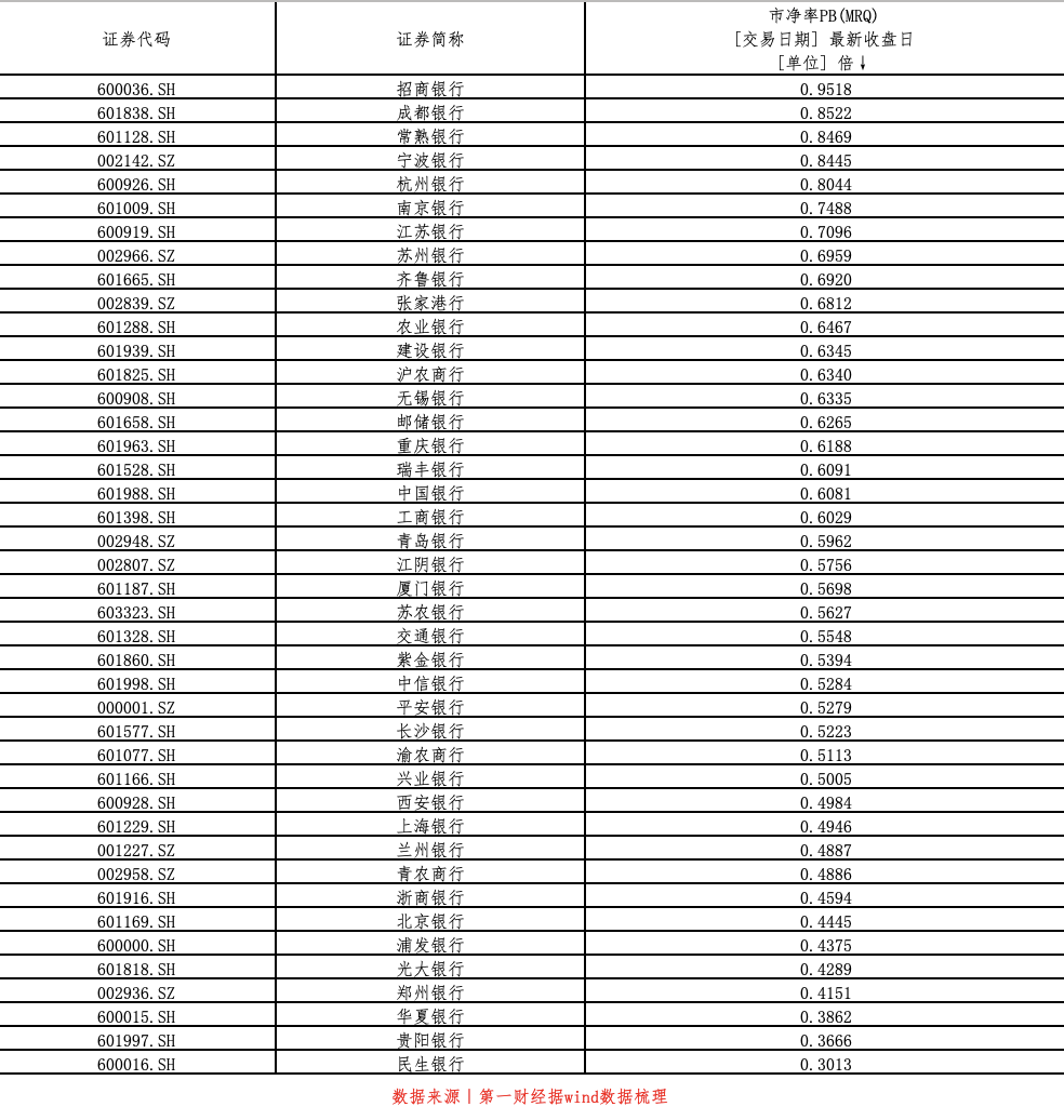
据第一财经记者梳理,当前银行板块仍然全面处于破净状态,招商银行年内一度走出破净,目前市净率为0.95倍,市净率最低的是民生银行,仅有0.30倍。此外,年内已有超过20家银行获股东增持,反映银行板块未来走势获得股东认可。
业内观点认为,市值管理指引有望为银行板块带来估值重构,对于市净率处于低位的板块而言,短期内有一定估值修复空间。另外,近期一系列支持地方化解债务风险、通过发行特别国债为国有大型商业银行补充核心一级资本等政策出台,对银行板块构成实质性利好。
银行板块集体爆发
上周五(11月15日)收盘后,证监会发布市值管理指引,进一步引导上市公司关注自身投资价值,切实提升投资者回报,并着重提到长期破净公司要制定价值提升计划。18日早盘,银行板块集体大涨,截至午间收盘,多只个股涨幅超过5%,其中市净率较低的个股涨幅更大。

(数据来源:Wind资讯)
18日盘中录得涨停的两只个股分别是郑州银行和青农商行,市净率为0.46倍和0.54倍,处于板块市净率靠后位置,最新总市值分别为179.63亿元、189.89亿元,在42家A股上市银行中排在第33、第32位。
第一财经据Wind数据统计,当前A股上市银行均处于破净状态,市净率中位数仅为0.57倍,在A股行业板块中处于倒数第一,其中12只个股市净率低于0.5倍。市净率最低的分别是民生银行、贵阳银行、华夏银行,市净率徘徊在0.4下方水平,但上述3只个股18日均录得较大涨幅,截至收盘,分别上涨7.43%、4.99%、5.08%。
Wind数据显示,A股42家上市银行中有39家长期处于破净状态,2022年,仅宁波银行、招商银行、成都银行未破净,但进入2023年,上述这只银行股市净率也下破“1”。直到2024年下半年,受到此前“9·24”市值管理指引公开征求意见稿出台影响,招商银行一度在国庆假期后的首个交易日走出破净,市净率恢复至1倍以上,但仅1个交易日后便重新回到1倍以下。
“银行板块迎来上涨潮,主要受到新出台的市值管理政策催化。”一位银行业分析师对记者表示,银行板块长期处于破净状态,市值管理指引将催促上市公司制定市值管理计划,并提升相应估值,增强投资者对公司回购股份的预期。
有望走出全面破净?
年内,随着多项关于市值管理的规定出台,市场对上市公司市值管理的关注度逐渐提升。从年初国资委提出“全面推开上市公司市值管理考核”,再到今年4月“新国九条”首次提出“鼓励上市公司建立市值管理制度”,再到近日监管正式发布市值管理指引。
市场分析人士认为,上述举措有望提升市场对银行股的关注度和估值认知,为银行股估值修复提供政策动力,长期受到“破净”困扰的银行股有望迎来改变,短期内银行板块将迎来一波上涨行情。
长期来看,市场对银行板块走势看法存在分歧。一种观点认为,银行板块仍有长期上涨的动力。“近期一系列旨在支持地方化解债务风险、通过发行特别国债助力国有大型商业银行补充核心一级资本、推动房地产市场企稳回升,以及推出互换便利工具等增量金融政策,对银行板块构成了实质性利好。”东莞证券在研报中指出。
此外,银行股年内密集获股东增持。据记者不完全统计,年内约有20家银行获股东增持,法巴银行两度加仓南京银行,增持比例达到1%。光大银行、苏州银行也先后获得股东增持,其中苏州银行获国发集团增持比例超过2%。
多家市场机构认为,部分银行股东增持,反映出股东对银行未来发展前景持看好预期,向市场释放积极信号。Wind数据显示,截至前一交易日(11月 15日)收盘,银行板块年内累计涨幅超过30%,有约半数银行股涨幅超过30%,南京银行、沪农商行涨幅均超过50%。
“银行经营面临积极因素,未来具有较高的配置价值。”光大银行金融市场部宏观研究员周茂华认为,一方面,国内增量逆周期调节政策力度超预期,随着存量、增量政策落地见效,经济有望企稳复苏,利好银行盈利与资产质量;另一方面,银行规范手工补息行为,为存款产品重新定价,持续优化资产负债结构,加大不良资产处置等效果逐步显现。
另一种观点则认为,银行板块处于“政策强预期,基本面弱现实”背景,暂未有实质性的修复。中信建投分析师陈果指出,当前宏观经济指标仍处于逐步修复的进程中,本轮货币、财政政策发力后带动经济进一步复苏,才能推动银行基本面迎来实质性改善。
“对银行基本面而言,关键是观察一系列政策对于长期经济预期改善的实质性作用。”中金公司分析师林英奇则认为,银行在未来6~12个月内需要关注的三个中期风险点主要是实体经济流动性和资产质量、房地产存量债务、居民早偿问题。
银河证券研报指出,居民部门信贷需求边际修复,增量政策初见成效。10万亿元化债组合拳出台,政府债有望继续支撑社融。基本面积极因素累积,利好银行信贷投放和资产质量。
免责声明:本页所载内容来旨在分享更多信息,不代表九方智投观点,不构成投资建议。据此操作风险自担。投资有风险、入市需谨慎。
推荐阅读
相关股票
相关板块
相关资讯
扫码下载
九方智投app
扫码关注
九方智投公众号
头条热搜
涨幅排行榜
暂无评论
赶快抢个沙发吧