延续“个人突围组”与“高校突围组”,首次引入“小红书突围组”,赛制继续优化升级!4月15日,2026“上证杯”全国高校ETF知识及理财规划大赛(以下简称“上证杯”)在中国人民大学启动,并将于4月至10月在全国高校全面开展。“E马当先”,等你来战!
“上证杯”是由上海证券交易所与上海证券报社共同主办的主题公益赛事,旨在落实国务院办公厅“将投资者教育逐步纳入国民教育体系”相关要求,助力提升高校学生金融素养,引导理性投资、价值投资、长期投资理念。自2021年以来,“上证杯”已成功举办五届,覆盖海内外超过3000所学校的45余万名高校学生,活动曝光量超5000万人次。“上证杯”已成为业内最高规格、最具影响力的投教赛事之一。
六载砥砺,伴随“ETF让未来更精彩”的价值理念,“上证杯”从上海走向全国,从知识竞赛升级为集线上答题、模拟实盘、理财规划、实习实践于一体的综合赛事与高校人才培养平台,为全国学子提供学习ETF基础知识、参与资产配置实战、提升金融素养水平的机会。
2026年第六届“上证杯”全国高校ETF知识及理财规划大赛由上海证券交易所、上海证券报社发起主办,中证指数和易方达基金、国泰基金、华夏基金、南方基金、富国基金、华安基金、华泰柏瑞基金、招商基金、银华基金、摩根资产管理等金融机构提供专业支持,小红书财经担任合作伙伴,同花顺担任技术支持。
比赛官网:上证投资家edu.cnstock.com
比赛资讯平台:高校财富素养第二课堂公众号
赛制安排
2026“上证杯”全国高校ETF知识及理财规划大赛(以下简称2026“上证杯”)分为预选赛、半决赛和总决赛三大赛段。赛事活动时间为2026年4月-10月。
预选赛分为个人突围组、高校突围组和小红书突围组,其中,个人突围组和高校突围组的比赛形式为线上知识竞赛和ETF模拟投资赛,小红书突围组的比赛形式为主题内容创作和线上知识竞赛;半决赛的比赛形式为理财规划方案设计;总决赛比赛形式为理财规划方案答辩和现场金融知识竞答。
第一赛段:预选赛(4-6月)
预选赛分为个人突围组、高校突围组和小红书突围组三大组别。其中,个人突围组和高校突围组两大组别所有参赛选手均需参加线上知识竞赛和ETF模拟投资赛;小红书突围组的参赛选手通过小红书平台进行主题内容创作和线上知识竞赛来参与比拼。
预选赛期间,个人突围组参赛选手应当通过赛事官方平台(上证投资家edu.cnstock.com)直接报名参赛;高校突围组由同一高校学生以3-5人团队形式参加,每个高校可形成多支战队,由联合参赛证券公司向主办方提交报名信息;小红书突围组赛道的参赛选手,应通过指定形式发布参赛作品的形式参赛,无需另行报名。
根据预选赛成绩,共产生34支晋级战队,其中个人突围组产生2支总决赛直通车战队和8支晋级半决赛战队(跨校组合),高校突围组产生20支晋级半决赛战队,小红书突围组产生4支晋级半决赛战队。其中,线上知识竞赛全国TOP5和ETF模拟投资赛全国TOP5将分别获得2026“上证杯”总决赛直通车组队机会(仍需参加半决赛获取模拟投资成绩)。其它战队晋级规则如下:
个人突围组:2支总决赛直通车战队和8支晋级半决赛战队。个人突围组以个人综合成绩决定晋级半决赛资格。对所有个人突围组参赛选手(高校突围组同步报名且晋级选手除外)两项比赛综合成绩进行排名,TOP40参赛选手组成8支混合战队晋级半决赛。
高校突围组:20支战队。高校突围组以团队成绩决定晋级半决赛资格。对高校突围组各参赛队预选赛综合成绩进行排名,TOP20参赛队晋级半决赛。
小红书突围组:4支战队。小红书突围组以个人成绩决定晋级半决赛资格。小红书突围组的参赛选手将通过小红书平台,结合ETF投资知识进行主题内容创作,并参加线上知识竞赛综合考核,具体参赛细则详见小红书平台财经官方账号@财经薯后续发布。
预选赛阶段的参赛选手可同时通过个人突围组、高校突围组和小红书突围组3个渠道参赛。但如在多个渠道的成绩均可入围半决赛,则将视为通过其中1个渠道的额度晋级半决赛,其他突围组晋级资格顺延至下一位。具体晋级优先级为:高校突围组>小红书突围组>个人突围组。
如选手同时获得总决赛直通车机会和上述三个突围组的晋级资格,则优先视为直通总决赛,其他突围组晋级资格顺延至下一位。
一、个人突围组参赛及评分规则
个人突围赛比赛形式为线上知识竞赛和ETF模拟投资赛,比赛时间均为4-10月。参赛选手4-6月成绩决出8支预选赛晋级名单和2支总决赛直通车名单,7-10月仅角逐月榜排名和全国最终排名,不再产生晋级选手或战队。
(一)线上知识竞赛(4-10月)
1.比赛平台:上证投资家(edu.cnstock.com)
线上知识竞赛采用线上答题的形式,参赛选手通过上证投资家(edu.cnstock.com)、上海证券报微信公众号进入大赛官网,进行线上报名、学习和比赛。
2.比赛形式
线上知识竞赛分为线上排位赛和线上练习赛。参赛选手通过参加线上排位赛获得答题得分,每位参赛选手共有三次答题机会,取最高分作为线上排位赛答题得分(总分800分),计入个人知识竞赛成绩。
为提升参赛选手ETF知识储备,活动官网同步推出线上练习赛,供选手检验学习成果、积累答题经验,不限次数,不计入最终成绩。线上排位赛的题型和计分:
(1)知识竞赛为80题选择题(含单选题和多选题),总分800分。
(2)答对得分,答错不扣分,未答不得分。
(3)每次答题限时20分钟。
3.得分和排名规则
线上知识竞赛包含线上排位赛答题得分、活跃积分、推广积分三类分数,大赛活动期内,参赛选手每日首次登录线上知识竞赛比赛平台获5分活跃积分,活跃积分上限50分;用户每成功邀请1位新参赛者注册获15分推广积分,推广积分上限150分。
6月底,线上知识竞赛总得分(线上排位赛答题得分+活跃积分+推广积分)全国TOP5获得2026“上证杯”总决赛直通车组队机会;所有参赛选手按照此时的线上知识竞赛总得分加权计算预选赛综合得分。
10月底,线上知识竞赛总得分(线上排位赛答题得分+活跃积分+推广积分)全国TOP50参赛选手分获2026“上证杯”ETF知识全国一二三等奖;TOP51-100参赛选手荣获2026“上证杯”ETF知识达人奖。
注:如果线上知识竞赛总得分相同,将依次参照以下因素进行排名,分数高者位次居前:线上排位赛答题最高得分、线上排位赛答题平均分、推广人数。
(二)ETF模拟投资赛(4月-10月)
参赛选手在官方指定交易平台上进行ETF模拟投资比赛,比赛时间为4-10月。比赛期间,按自然月进行个人月收益率排名。
比赛使用虚拟资金,不涉及真实资金交易,无需开通证券账户。比赛遵循实盘交易规则,但不支持使用融资融券等功能。
1.比赛平台:同花顺APP
参赛选手在比赛官网上证投资家(edu.cnstock.com)扫码下载安装同花顺APP,在APP首页搜索“上证杯”,即可注册、参加ETF模拟投资大赛。
2.ETF模拟投资比赛交易规则
模拟投资资金:100万虚拟资金
交易日期:比赛期间的法定交易日
交易时间:每个比赛投资日上午9:30-11:30,下午13:00-15:00
投资范围:经中国证监会依法核准或注册,所有已上市交易的ETF产品。
交易规则:参赛者需在同花顺APP上“2026上证杯”模拟比赛系统中构建ETF投资组合,各ETF品种的交易单位、交易时间、撮合成交规则、分红送转配规则接近上海证券交易所规定的实盘交易规则。不支持使用融资融券等功能。
非交易时段委托处理:在非交易时间下单将作为预埋单,可以在下一交易时段进行撮合交易。没有成交的委托可以撤单,当日未能成交的委托收市后自动撤销。
3.成绩计算与排名规则
比赛期间,主办方将按自然月对选手进行月收益率排名,每月收益率排名前50的参赛选手将赢得当月月度奖励。参赛选手需有当月交易记录或月底有持仓才视为当月成绩有效,方可参加排名。
月收益率计算规则如下:
月收益率=(月末总资产÷月初总资产-1)*100%
6月底,模拟投资赛成绩全国TOP5参赛选手获得2026“上证杯”总决赛直通车组队机会;所有参赛选手按照此时的模拟投资赛表现加权计算预选赛综合得分。
在极端行情或其他突发特殊情况下,主办方有权对模拟投资的综合评分规则进行调整。
二、个人突围组晋级规则
个人突围组产生8支晋级半决赛战队(跨校组合),由预选赛综合成绩TOP40(50%线上知识竞赛得分+50%模拟投资赛得分)参赛选手组队形成。综合成绩计算与排名规则如下:
(一)个人突围赛综合成绩计算截止日期
2026年06月30日24点
(二)各赛道得分标准化
为统一量纲,两个赛道的原始成绩均转换为0-100分的标准化得分。
赛道一:线上知识竞赛得分(S1)
S1 = 线上排位赛答题得分÷8
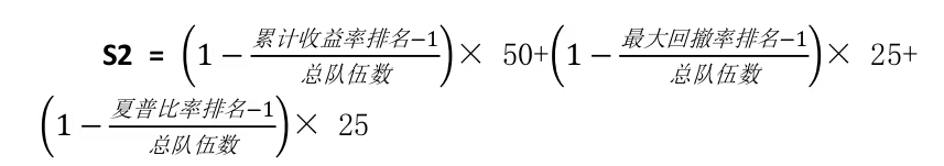
赛道二:ETF模拟投资赛得分(S2)
1.所有参赛者模拟投资收益率从高到低排名,最大回撤率从低到高排名,夏普比率从高到低排名,参加模拟投资赛时长从高到低排名。
2.计算每位参赛者的百分位排名作为ETF模拟投资赛得分:

3.示例:100人中各项排名第1→S2=100分,各项排名第30→S2=70分,各项排名第100→S2=1分。
4.成绩的计算区间为选手参赛日至2026年6月30日。
5.参赛者需满足在成绩计算区间内,20个及以上的交易日收盘时有持仓,否则不纳入排名。
6.若成绩相同则共享排名(如两人并列第1,下一位为第3名)。
7.在极端行情或其他突发特殊情况下,主办方有权对模拟投资的综合评分规则进行调整。
(三)综合成绩计算规则
综合成绩=(S1×50%)+(S2×50%)
(四)晋级规则
1.每位参赛选手按综合成绩从高到低进行排名,取前40名晋级半决赛。
2.入围直通车、高校突围组晋级或小红书突围组晋级的参赛选手不纳入排名,名额相应递延。
3.平分处理:
·综合得分相同者,知识竞赛得分(S1)高者优先;
·若S1仍相同,按ETF模拟投资赛中累计收益率高者优先。
(五)组队方式
个人突围组成绩排名前8的参赛选手将分别担任8支晋级半决赛战队的队长,其余队员将通过抽签分配。
三、高校突围组组织及参赛规则
(一)参赛资格与组织原则
1.高校队伍数量限制
确保比赛质量与公平性,每个高校学院可组建不多于3支参赛队伍参与预选赛中的高校突围赛,以确保对参赛队伍的培养质量,避免资源过于分散。
2.队伍成员构成
(1)每支参赛队伍须由3-5名成员组成,成员必须为同一高校的在校学生;
(2)参赛成员不得同时参与多支队伍,即各队伍之间成员不得有任何重合,确保每队独立性与竞争力。
3.证券公司指导参赛
(1)每支高校队伍必须找到一家证券公司作为指导单位,证券公司应当为该只队伍全程提供专业指导与支持;
(2)每家证券公司最多可指导5支队伍,确保指导资源的集中与高效利用;
(3)允许同一家证券公司在不同高校中委派不同人员指导不同的队伍,以促进证券行业与多所高校之间的交流与合作。
4.队伍命名规则
每支高校队伍的命名需遵循“XX高校+XX证券”队的格式,其中“XX高校”为参赛队伍所属高校名称,“XX证券”为指导参赛的证券公司全称或简称,确保队伍身份清晰可辨。
(二)报名与审核流程
1.报名材料提交
各参赛队伍必须通过指定平台提交参赛队伍名单,包括队伍名称、成员信息(姓名、学号、学院、年级)、学校指导老师(如有)、指导证券公司等信息,并加盖学校公章(或队长所在学院公章)和指导证券公司公章。报名原则上由高校组织并提交材料,经协商也可由指导券商组织并提交材料。相关盖章文件复印件,电子件应发送至大赛指定邮箱:shangzhengbei@cnstock.com
报名截止时间:2026年5月23日。
如一个高校学院报名队伍超过3支,或一家证券公司指导队伍超过5支的,以邮箱收到报名邮件的时间顺序为准,对超出前述数量限制的不再接受报名。
2.资格审核
(1)组委会将对报名材料进行审核,确认队伍成员身份、队伍命名规范及证券公司指导参赛的合规性。
(2)对于报名不符合要求的队伍,组委会将通知相关高校进行调整或补充材料,逾期未改正者视为自动放弃参赛资格。
(三)赛制安排
高校突围赛由每支队伍的线上知识竞赛和ETF模拟投资赛成绩加总组成,按照从高到低取前20名晋级半决赛。该赛段的比赛时间为一个月,即2026年6月1日至2026年6月30日。
1.线上知识竞赛
(1)比赛平台:上证投资家edu.cnstock.com
(2)成绩计算与排名规则:参赛队伍通过参加线上排位赛获得答题得分。每支队伍的每位参赛选手均有三次答题机会,取最高分作为该名选手的知识竞答成绩(总分800分)。
每支队伍线上知识竞赛的最终得分为S1,S1 = 该队伍所有选手知识竞答成绩的平均分÷8(将800分制标准化为100分)。
2.ETF模拟投资赛
(1)比赛平台:同花顺APP
参赛选手在比赛官网上证投资家(edu.cnstock.com)扫码下载安装同花顺APP,在APP首页搜索“上证杯”,即可注册、参加ETF模拟投资大赛。(该赛段交易规则与个人赛完全一致)
(2)成绩计算与排名规则
比赛时间内,主办方将以每支队伍队长的模拟投资账户成绩作为该队伍的模拟投资成绩,计算方式如下。
①所有高校突围租参赛队伍模拟投资收益率从高到低排名,最大回撤率从低到高排名,夏普比率从高到低排名。
②计算每支队伍的百分位排名作为ETF模拟投资赛得分:

示例:100支队伍中各项排名第1→S2=100分,各项排名第30→S2=70分,各项排名第100→S2=1分。
③成绩的计算区间为2026年6月1日至2026年6月30日。
④参赛队伍需满足在成绩计算区间内,10个及以上的交易日收盘有持仓,否则不纳入排名。
⑤若成绩相同则共享排名(如并列第1,下一位为第3名)。
⑥在极端行情或其他突发特殊情况下,主办方有权对模拟投资的综合评分规则进行调整。
(3)综合成绩计算
综合成绩=(S1×50%)+(S2×50%)
晋级规则:每位参赛队伍按综合成绩从高到低进行排名,取前20支队伍晋级半决赛。
平分处理:综合成绩相同者,知识竞赛得分(S1)高者优先;若S1仍相同,模拟投资成绩(S2)高者优先。
(四)比赛期间管理
1.队伍稳定性:比赛期间,各队伍成员不得随意更换。因特殊情况确有必要更换的,应当提前向组委会申请并获得批准。
2.证券公司指导责任:指导参赛的证券公司应当积极参与队伍培训、策略指导等工作,确保队伍能够充分利用行业资源提升竞赛水平。
3.沟通机制:组委会将建立高校、证券公司及参赛队伍之间的沟通渠道,定期发布比赛动态,收集反馈意见,确保比赛顺利进行。
(五)违规处理
1.违规行为界定:包括但不限于虚报信息、队伍成员重合、未经批准擅自更换成员、证券公司违规挂名指导等行为。
2.处罚措施:对于违反本细则的队伍或证券公司,组委会将视情节轻重给予警告、扣分、取消参赛资格等处罚。
(二)半决赛(7月-9月)
2026“上证杯”半决赛采用理财规划方案大赛形式。34支参赛队伍将运用ETF工具,通过模拟实盘构建ETF资产配置组合,并撰写提交理财规划方案报告PPT。每支战队综合成绩由资产配置组合量化评分(60%)与理财规划方案报告评委评分(40%)合计得出。
半决赛参赛及评分规则
(一)比赛规则
半决赛每支参赛队需分别制定两种组合:《稳健组合》和《进取组合》。每个组合配置不少于5只ETF产品。比赛期间,参赛队可对两种组合进行动态调整,ETF的交易规则与预选赛阶段ETF模拟投资赛交易规则相同。主办方为每支参赛队分配一个账号,每位队员都可用本人手机号登录该账号,该账号的交易权限仅限队长。主办方将为每支战队配置一位专家作为带队导师,对战队进行资产配置指导。

(二)成绩计算及排名规则
每支战队综合成绩由稳健组合方案量化评分(30%)、进取组合方案量化评分(30%)与理财规划方案报告评委评分(40%)计算得出。根据每支战队综合成绩高低,8支个人突围组晋级战队内部角逐4个总决赛晋级名额;20支高校突围组晋级战队内部角逐6个总决赛晋级名额。
1.《稳健组合》得分计算规则

针对每个考察指标(相对收益指标除外),对所有参赛者策略根据相应指标属性进行排序。在排序序列中,首尾得分指标分别计满分和零分,其余得分计算如下:考察指标的最大值=Max,考察指标的最小值=Min,考察的参赛者策略的指标值为 X,相应该考察指标的满分为 W,则各指标相应得分计算公式为:
风险指标W*(Max-X)/(Max-Min)
业绩指标或风险收益指标W*(X- Min)/(Max-Min)
相对收益指标如W大于等于4%则得10分,否则得0分。
2.《进取组合》得分计算规则

针对每个考察指标(相对收益指标除外),对所有参赛者策略根据相应指标属性进行排序。在排序序列中,首尾得分指标分别计满分和零分,其余得分计算如下:考察指标的最大值=Max,考察指标的最小值=Min,考察的参赛者策略的指标值为X,相应该考察指标的满分为 W,则各指标相应得分计算公式为:
风险指标W*(Max-X)/(Max-Min)
业绩指标或风险收益指标W*(X- Min)/(Max-Min)
相对收益指标如W大于等于同期沪深300指数收益率则得10分,否则得0分。
(三)总决赛(初定10月)
2026“上证杯”总决赛将于线下举办。
12支参赛队需依次现场陈述其理财规划方案构建逻辑和组合策略,专家评审团将根据参赛队现场答辩表现和组合运行结果进行打分,并给出指导意见。随后12支参赛队将参加大学生现场金融知识竞答。
各参赛队综合成绩由半决赛资产配置组合量化评分(20%)、总决赛现场理财规划方案答辩评分(40%)和现场金融知识竞答得分(40%)计算得出,并决定各支参赛队最终排名。
(四)颁奖仪式(初定10月)
主办方将邀请总决赛12支战队参加2026“上证杯”全国高校ETF知识及理财规划大赛颁奖仪式。
奖项及奖励设置
2026“上证杯”全国高校ETF知识及理财规划大赛活动共设置个人奖、团队奖、推广奖和实习机会四大类奖项,具体奖励细则另行公告。此外,小红书平台还将另行安排相关奖励,以后续平台公示为准。
一、个人奖
(一)线上知识竞赛
根据高校选手线上知识竞赛总得分进行排名,排名前100的高校选手将获取相应奖金、荣誉证书和实习机会。

(二)ETF模拟投资赛
根据每月收益率进行月榜排名,每月排名前50的高校选手将获取相应奖金、荣誉证书、实习机会、同花顺软件礼包等。

预选赛期间(4月-6月),参赛选手通过线上知识竞赛和ETF模拟投资获取的成绩可用于预选赛,并有机会同步获得相应的个人奖;在预选赛结束后,新进入的注册参赛选手通过线上知识竞赛和ETF模拟投资所获取的成绩将无法用于晋级半决赛和总决赛,但仍有机会继续争夺上述个人奖。
二、团队奖
(一)半决赛奖项
参加2026“上证杯”预选赛并入围半决赛的参赛队伍,根据理财规划模拟投资成绩进行组内排名,TOP6高校突围组队伍、TOP3个人突围组队伍、TOP1小红书突围组队伍和2支总决赛直通车战队获得总决赛晋级名额,未能晋级总决赛的参赛队伍将获得半决赛入围奖及荣誉证书(电子版)。

(二)总决赛奖项
12支参赛战队参加2026“上证杯”总决赛,并将根据比赛分数分获全国特等奖(1支队伍)、全国一等奖(2支队伍)、全国二等奖(3支队伍)、全国三等奖(6支队伍)。每支队伍将获取相应奖金、荣誉证书和同花顺软件礼包。

三、推广奖
(一)个人推广奖
根据高校学生对本次活动的推广贡献设立个人推广奖,个人推广奖分设“上证杯”ETF校园推广大使奖及短视频人气奖。
(二)社团贡献奖
2026年,活动主办方将根据各高校社团对2026“上证杯”赛事的贡献程度和推广力度给予社团组织奖励。
四、实习机会
活动主办方向各金融机构征集了近百个实习名额,优胜选手将优先获得实习机会,具体分配方案将另行公布。
注:大赛规则最终解释权归2026“上证杯”组委会所有。组委会保留根据实际情况对本细则进行适时调整的权利,调整内容将以官方公告形式发布。



