整体分析
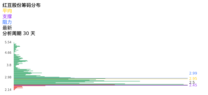
现价跌穿持仓均价,短期走弱。获利比例<10%,短期可能弱势反弹。最近处于主力轻度控盘状态,表明主力态度看淡。操作上控制仓位,谨慎对待。

技术面
获利比例<10%,短期可能弱势反弹。现价跌穿持仓均价,短期走弱。


基本面
公司营运能力整体表现欠佳,其中应收账款周转率和总资产周转率同比小幅下降,存货周转率同比显著下降。

消息面
消息方面,近一月,与红豆股份相关个股研报共1篇,其中100%机构给予该股增持或买入评级,近期评级无变化,机构对红豆股份比较看好。
资金面
最近处于主力轻度控盘状态,表明主力态度看淡。主力资金累计减仓明显,看跌态度较强。所在行业主力资金累计减仓明显,注意板块风险。大资金的流出意愿较强,注意短期下跌空间。两融杠杆流出态度坚决。机构季度持仓环比增加,代表机构看好公司发展,可关注中期机会。

红豆股份最新动态
【红豆股份:拟以2000万元-4000万元回购股份】4月15日电,红豆股份公告,拟以2000万元-4000万元回购股份,回购股份价格不超过人民币3.95元/股。



