整体分析
现价跌穿持仓均价,短期走弱。最近处于主力轻度控盘状态,表明资金关注度较低。操作上可以中长期跟踪。

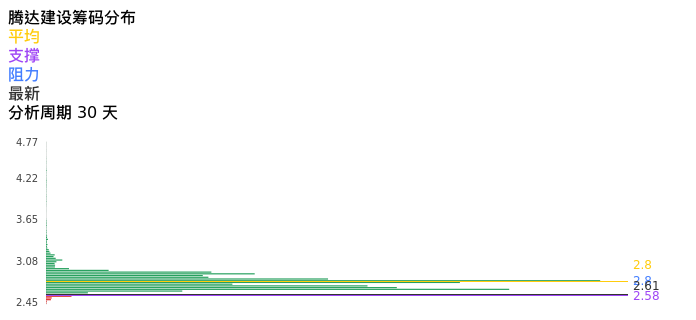
技术面
获利比例<10%,短期可能弱势反弹。现价跌穿持仓均价,短期走弱。


消息面
消息方面,近一月,与腾达建设相关个股研报共1篇,其中100%机构给予该股增持或买入评级,近期评级有所上升,机构对腾达建设比较看好。
资金面
最近处于主力轻度控盘状态,表明资金关注度较低。主力资金累计减仓显著,看空力度坚决。所在行业的主力资金显著减仓,板块存在下跌风险。
腾达建设最新动态
【腾达建设:中标6.93亿元施工项目】9月5日电,腾达建设公告,中标杭州市城市轨道交通3号线二期工程土建施工SG3-2-2标段施工项目,中标价6.93亿元,工期1218日历天。



