整体分析
现价跌穿持仓均价,短期走弱。所在行业主力资金累计减仓明显,注意板块风险。建议可以中长期跟踪。
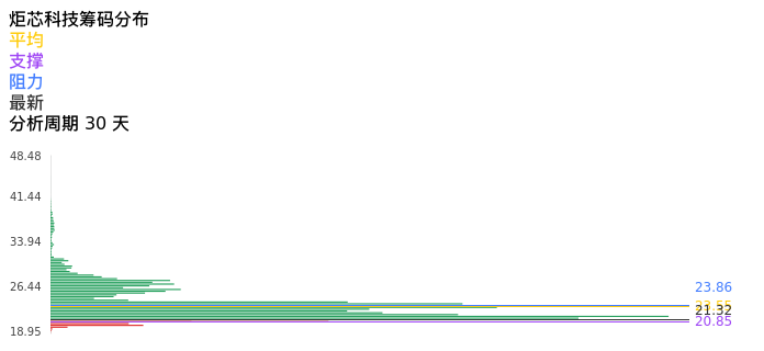
技术面
现价跌穿持仓均价,短期走弱。

基本面
公司偿债能力整体表现优秀,其中流动比率和速动比率环比小幅升高,资产负债率环比基本无变化。

资金面
最近市场主力轻度控盘,表明资金关注度较低。主力资金累计减仓明显,看跌态度坚决。所在行业主力资金累计减仓明显,注意板块风险。大资金的流出持续性较强,注意短期风险。融资融券的流出意愿坚决。

炬芯科技最新动态
【7只SOC芯片股披露上半年业绩预告 瑞芯微同比最高预增近7倍】7月20日电,据Choice数据统计,截至发稿,包括恒玄科技、炬芯科技、瑞芯微、晶晨股份、全志科技、博通集成和盈方微在内的7只SOC芯片股披露上半年业绩预告。其中,瑞芯微上半年净利同比预增543.15%-686.29%,恒玄科技上半年净利同比预增199.68%左右,全志科技上半年预盈1.12亿元-1.28亿元。环比表现方面,恒玄科技Q2净利环比预增336.18%,炬芯科技Q2净利环比预增276.88%。此外,乐鑫科技公告,预计1-5月归母净利润约1.187亿元,同比增加123.51%。



